VX-880 is een therapie met uit menselijke stamcellen ontwikkelde bètacellen. Na veelbelovende resultaten eerder dit jaar zijn in de eerste 2 delen van de studie 6 patiënten behandeld. 3 van hen zijn volledig insulineonafhankelijk. Inmiddels is deel 3 van de fase I/II-studie gestart met 10 nieuwe patiënten.
De studie bestaat uit 3 delen waarin volwassenen met diabetes type 1 die geen aantoonbare insulinesecretie hebben, hypo-unaware zijn en ernstige hypoglykemieën hadden in het jaar voor de start, behandeld worden met VX-880. De eerste 2 delen met in totaal 7 patiënten zijn inmiddels afgerond. Een van hen trok zich terug om persoonlijke redenen.
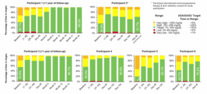
Patiënt 1 die in deel 1 de helft van de dosis VX-880 kreeg toegediend, is na 1 jaar follow-up insulineonafhankelijk. Deze patiënt had 42 jaar diabetes type 1 en gebruikte dagelijks 34 eenheden insuline. Het HbA1c daalde van 70 naar 33 mmol/mol en de time-in-range (TIR) nam toe van 40,1 tot 97,7%.
Ook patiënt 3 uit het tweede deel die de volledige streefdosis VX-880 kreeg, is insulineonafhankelijk. Deze patiënt had 19 jaar diabetes en gebruikte 45,1 eenheden insuline per dag, met een HbA1c van 60 mmol/mol en een TIR van 53,8% op baseline. Deze patiënt werd insulineonafhankelijk op dag 180 en is dat nog steeds na 12 maanden (HbA1c 42 mmol/mol, 96,8% TIR).
Bij patiënt 4 werd na 15 maanden gestart met dagelijks 4 eenheden insuline. In de afgelopen weken bereikte ook deze patiënt (op dag 180) insulineonafhankelijkheid.
Alle 6 patiënten die in de eerste 2 delen van de studie met VX-880 zijn behandeld, hebben een verbeterde glykemische controle: geen ernstige hypoglykemieën, een beter HbA1c en hogere TIR. 90 dagen na de procedure reageerden deze patiënten positief op een mixed meal test: de insulineproductie steeg, zoals een functionerende alvleesklier zou moeten doen.

Bron: