Een analyse van data uit de SELECT-studie toont aan dat GLP1-receptoragonist semaglutide het risico op cardiovasculaire events ook vermindert bij mensen met een verminderde eGFR en micro- of macroalbuminurie.1 Eerder was al aangetoond dat dit geldt voor mensen met overgewicht zonder diabetes en een eerder cardiovasculair event.2
In een vooraf gespecificeerde analyse werden 17.604 deelnemers gerandomiseerd naar eenmaal wekelijks semaglutide 2,4 mg (n = 8.803) of placebo (n = 8.801). Bij randomisatie hadden 1.908 (11%) patiënten een eGFR < 60 ml/min/1,73 m2 en 2.281 (13%) patiënten een UACR ≥ 30 mg/g. De mediane follow-up was 3,5 jaar. Primair eindpunt was vermindering van MACE (samenstelling van overlijden door cardiovasculaire oorzaken, niet-fataal myocardinfarct of niet-fatale beroerte).
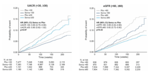
Bij de mensen met een normale nierfunctie (eGFR ≥ 60 ml/min/1,73 m2) die semaglutide kregen, was er een vermindering van 18% in MACE. Events traden op bij 6% van de patiënten op semaglutide versus 7,3% van de mensen op placebo (HR 0,82; 95%-BI 0,72-0,92]). Ook voor MACE en sterfte door alle oorzaken was de reductie 18%.
Bij mensen met een verminderde nierfunctie (eGFR < 60 ml/min/1,73 m2) was het risico op MACE 31% lager (9,7% met semaglutide versus 13,5% met placebo (HR 0,69; 95%-BI 0,52-0,90; p = 0,22). Het risico op MACE en sterfte verlaagde met 33%.
Bij mensen een normaal albuminuriegehalte (AUCR < 30 mg/g) verlaagde semaglutide het risico op MACE met 20%. (5,9% met semaglutide vs. 7,3% met placebo). Het risico op MACE en sterfte verlaagde met 21%.
Bij degenen met verhoogde albuminurie (UACR ≥ 30 mg/g), wat wijst op nierschade of nierziekte, verlaagde semaglutide het risico op MACE met 20% (9,9 vs. 12,3%) en 19% voor MACE en sterfte.
In deze studie was semaglutide minstens zo effectief in het voorkomen van MACE en sterfte bij mensen met een verminderde nierfunctie als bij mensen met een normale nierfunctie. De onderzoekers gaven aan dat dit geen primaire preventiestudie is en de resultaten daardoor niet zonder meer gelden voor alle patiënten met nierfalen.
De hazard ratio’s zijn hieronder in de 2 grafieken weergegeven.

Bronnen:
- Colhoun HM, Kahn SE, Brown PM, et al. Is semaglutide as effective at reducing major cardiovascular events in the presence of impaired kidney function in people with overweight or obesity? A prespecified analysis from the SELECT trial. EASD 2024, abstract 146.
- Lincoff AM, Brown-Frandsen K, Colhoun HM, et al. Semaglutide and cardiovascular outcomes in obesity without diabetes. NEJM Med 2023;389:2221-32.